Op 5 september 2014 zijn we overgestapt van speeders naar CFD trading. KLIK HIER
U heeft een baan overdag of u wilt niet de hele dag naar koersen staren? Dan is CritiTrader SwingTrading wat voor u. Een trader moet zich niet al te druk maken. Anderzijds willen we een acceptabel rendement behalen. Met acceptabel bedoelen we minimaal 25% op jaarbasis.
De kenmerken van CritiTrader zijn:
-wij beleggen op een relaxte wijze
-u hoeft niet de hele dag de beurs te volgen
-en wij nemen geen groot risico zodat het voor iedereen te volgen is.
Doel van de portefeuille
Wij zijn begonnen met een startkapitaal van 10.000 euro. Ons streven is om een goed rendement te halen. We gaan uit van een NETTO SCORE met alle kosten eraf zoals die van het abonnement en de transactie kosten. Kortom, CritiTrader is in feite voor iedereen goed te doen, en om ermee van start te gaan. Er is niet zoveel kapitaal nodig.
Beleggingshorizon
Wij hebben de posities een dag of enkele dagen in portefeuille. De beleggingshorizon is daardoor als kort te beschouwen.
Voor wie is het geschikt
Voor beleggers die de beurs actief volgen.
Hoe werkt het
Wij geven per e-mail aan wat wij gaan doen. Wij zullen meestal de stoploss als het koersdoel vermelden. Wij gaan beleggen met Speeders van CitiGroup. Wij vinden het persoonlijk mooie producten. Wij zullen daarnaast ook het aantal, het product en de prijs van de speeder noemen. Tussentijds kunnen wij u berichten dat de stoploss of koersdoel aangepast wordt. .
Wij handelen op dagbasis. Abonnees kunnen tevens ook terecht op het besloten deel van het forum.Bij vakantie, ziekte en andere situaties van overmacht wordt er geen mail verstuurd en de portefeuille niet bijgewerkt.
U krijgt een stoploss mee zodat u van te voren kunt weten wat het maximale verlies zal zijn. Als de stoploss of het koersdoel wordt aangepast of de positie wordt gesloten, krijgt u uiteraard bericht via de mail en kunt u terecht op het besloten deel van het forum.
Wij zullen in de avond ervoor een aankondiging sturen tegen welke koers gekocht of verkocht kan worden.
Bijvoorbeeld:
We gaan morgen bij de opening om 08:00 uur op de eerste koers short.
Wij kopen 100 stuks Speeder Short 8584.5181=xxxx. Koersdoel is xxxx. Stop is xxxx.
De sluiting volgt eveneens nabeurs en zal gemeld worden na 22:00 uur.
Wat is de gedachte erachter?
Ik begrijp het volkomen, ik zie alleen het nut niet van om direct bij opening te kopen of verkopen.
Zit daar een gedachte achter? Verder stel dat de koers een leuke winst maakt in de loop van de dag, waarom dan vast houden tot de volgende ochtend.
De gedachte erachter is dat we niet meer handelen op koersen gedurende de dag maar de dagframes gaan gebruiken. Koersen binnen de dag zijn volatieler terwijl dagkoersen een beter beeld geven. Slotkoersen en openingskoersen zijn dominanter dan intraday koersen. Er zijn een aantal voordelen hiervan:
1. We gaan minder transacties doen omdat we op dagbasis gaan handelen dus minder transactiekosten
2. We kunnen aankondiging gaan maken wat we gaan doen dus het verschil tussen de instap en uw instap (als u meedoet) is gering. U kunt van te voren beslissen of u meedoet of niet. Dat geldt
3. U hoeft niet de hele dag naar de koersen te kijken en daarom is het ook geschikt voor beleggers die weinig tijd hebben
Mocht u toch op intraday willen handelen, dan kan dat nog steeds, en mogelijk kunt u zoals nu beter inkopen. Hetzelfde geldt voor de uitstap.
Welke openingskoersen?
Hoi Sat, het zinnetje * we sluiten weer op de openingskoers * begrijp ik niet.
Wanneer welke openingskoers????, als de xxx op het koersdoel van xxxx staat.”
Het gaat erom dat we de positie sluiten op de openingkoers. Dus als ik na 22:15 uur een berichtje gestuurd heb zal dat in de volgende vorm zijn:
“We sluiten de short positie op xxx op de openingskoers”. Dat is de eerste koers van xxx om 08:00 uur van de volgende dag.
Als het koersdoel bereikt is het ook mogelijk de positie te sluiten. Ik zal in dan geval een mail sturen.
Dat geldt ook voor uitzonderlijke marktsituatie waarbij de beurs enorm stijgt of zakt. Maar doorgaans geldt dat we niet meer op intraday gaan handelen.
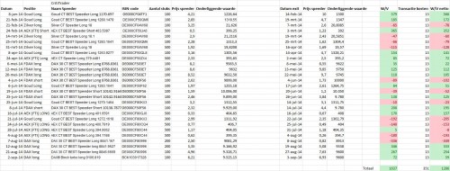
Resultaten CritiTrader
In de tabel hieronder zijn alle kosten verwerkt. Dus de resultaten zijn inclusief bankkosten en de kosten van het abonnement. Bij de transactiekosten zijn we uitgegaan van het Binck Active abonnement. Dat betekent per keer 6 euro aan transactiekosten.
Resultatenoverzicht:
2014

Klik op grafiek voor een grotere figuur, opent in nieuw venster

Rendementen uit het verleden bieden geen garantie voor de toekomst.
Samenvattend
CritiTrader biedt op een eerlijke, duidelijke en transparante manier signalen aan. Er wordt meestal een duidelijke stoploss meegegeven.
Abonnementen
Wij hebben de prijzen van ons abonnement fors verlaagd. Per 1 juli 2014 vragen wij een kleine vergoeding voor het volgen van de signalen.
U kunt kiezen voor de volgende abonnementen.
1. Eenmalige proefabonnement van 1 maand: € 49 Nu tijdelijk: € 25 . U kunt dan zien of het wat voor u is. Na het einde van de periode kunt u zelf aangeven of u de signalen langer wilt ontvangen.
2. Kwartaalabonnement: € 179 Nu drie maanden voor maar € 59. U abonnement loopt automatisch af tenzij u aangeeft de signalen verder te ontvangen.
Disclaimer
Wij hebben geen positie in de beleggingen. Wanneer wij een positie innemen zullen wij dat expliciet vermelden. De content is niet bedoeld als beleggingsadviezen. U heeft de vrijheid om het al dan niet op te volgen. Op alle content is onze disclaimer en Algemene voorwaarden van toepassing.
Aanmelden
Via de onderstaande contactforumulier kunt u zich aanmelden. Als u nog geen forumlid bent, kunt u een forumnaam vermelden.